Bảng quy đổi điểm chuẩn Đại học Bách khoa 2025: Cập nhật mới nhất
Năm 2025 đánh dấu lần đầu tiên kỳ thi tốt nghiệp THPT được tổ chức theo chương trình GDPT 2018, kéo theo nhiều thay đổi đáng kể. Trong bối cảnh đó, bảng quy đổi điểm chuẩn Đại học Bách khoa 2025 trở thành một công cụ quan trọng. Đây sẽ là cơ sở giúp thí sinh so sánh, đối chiếu và đánh giá khả năng trúng tuyển vào các ngành học yêu thích. Để có chiến lược đăng ký nguyện vọng hiệu quả, hãy cùng tham khảo thông tin mà EduGo chia sẻ trong bài viết này nhé!
Độ lệch chuẩn giữa các tổ hợp xét tuyển
Bộ GD&ĐT đã chính thức công bố phổ điểm thi tốt nghiệp THPT 2025 ở tất cả các môn. Theo hướng dẫn chung của Bộ, Đại học Bách khoa Hà Nội đã đưa ra độ lệch chuẩn giữa các tổ hợp xét tuyển theo phương thức sử dụng điểm thi tốt nghiệp. Cụ thể:
– Khối ngành kỹ thuật (A00, A01, A02, B00, D07, D26, D28, D29, K01): không có độ lệch điểm giữa các tổ hợp nếu xét tuyển vào cùng một ngành
– Khối ngành kinh tế, giáo dục, ngoại ngữ (D01, D04): không có độ lệch điểm
– Khi xét tuyển cùng ngành bằng cả tổ hợp kỹ thuật và tổ hợp D01/D04, các tổ hợp kỹ thuật được cộng +0.5 điểm

Độ lệch chuẩn giữa các tổ hợp xét tuyển Đại học Bách khoa
Việc hiểu rõ độ lệch chuẩn giữa các tổ hợp xét tuyển giúp thí sinh chủ động hơn trong việc xây dựng chiến lược đăng ký nguyện vọng phù hợp. Do đó, thí sinh không chỉ dựa vào sở thích tổ hợp thi mà nên tận dụng tối đa chính sách xét tuyển, đặc biệt là bảng quy đổi điểm chuẩn Đại học Bách khoa 2025.
Bảng quy đổi điểm chuẩn Đại học Bách khoa 2025

Bảng quy đổi điểm chuẩn Đại học Bách khoa 2025 theo khối A00

Bảng quy đổi điểm chuẩn Đại học Bách khoa 2025 theo khối D01
Trong kỳ tuyển sinh năm 2025, Đại học Bách khoa Hà Nội áp dụng phương pháp bách phân vị. Nhờ phương pháp này, nhà trường có thể dễ dàng tìm ra các mức điểm chuẩn tương đương giữa ba phương thức xét tuyển:
– Xét tuyển tài năng (hồ sơ, phỏng vấn chứng chỉ quốc tế, TSA diện 1.2/1.3…)
– Xét theo điểm thi Đánh giá tư duy (TSA)
– Xét theo điểm thi tốt nghiệp THPT
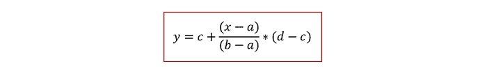
Dựa vào bảng quy đổi điểm chuẩn Đại học Bách khoa 2025, thí sinh có thể biết mức điểm chuẩn x thuộc khoảng phân vị [a, b) của phương thức tuyển sinh này tương đương mức điểm chuẩn y thuộc khoảng phân vị [c, d). Sau đó, thí sinh áp dụng công thức nội suy tính điểm chuẩn tương đương đối với điểm thi TSA theo công thức:

>>> Xem thêm: Cách xếp nguyện vọng khi đăng ký nguyện vọng xét tuyển đại học 2025
Bảng quy đổi điểm chuẩn Đại học Bách khoa 2025 là công cụ quan trọng giúp thí sinh đánh giá khả năng trúng tuyển giữa các phương thức xét tuyển. Đồng thời giúp bạn xây dựng chiến lược đăng ký nguyện vọng chính xác và tăng cơ hội vào đúng ngành, đúng trường mơ ước.


















